library(tidyverse)
theme_set(theme_classic())
source("https://github.com/jjcurtin/lab_support/blob/main/format_path.R?raw=true")
path_models <-"~/mnt/standard/risk/models/ema" # format_path("studydata/risk/models/ema", "restricted")
preds_hour<- read_rds(file.path(path_models,
"outer_preds_1hour_0_v5_nested_main.rds"))
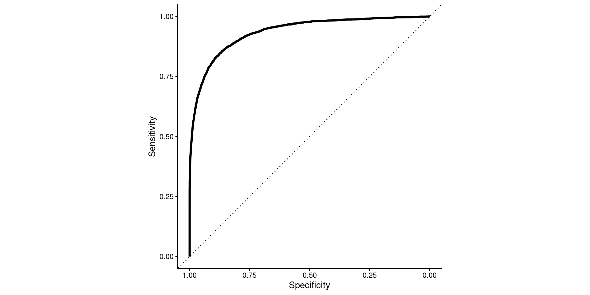
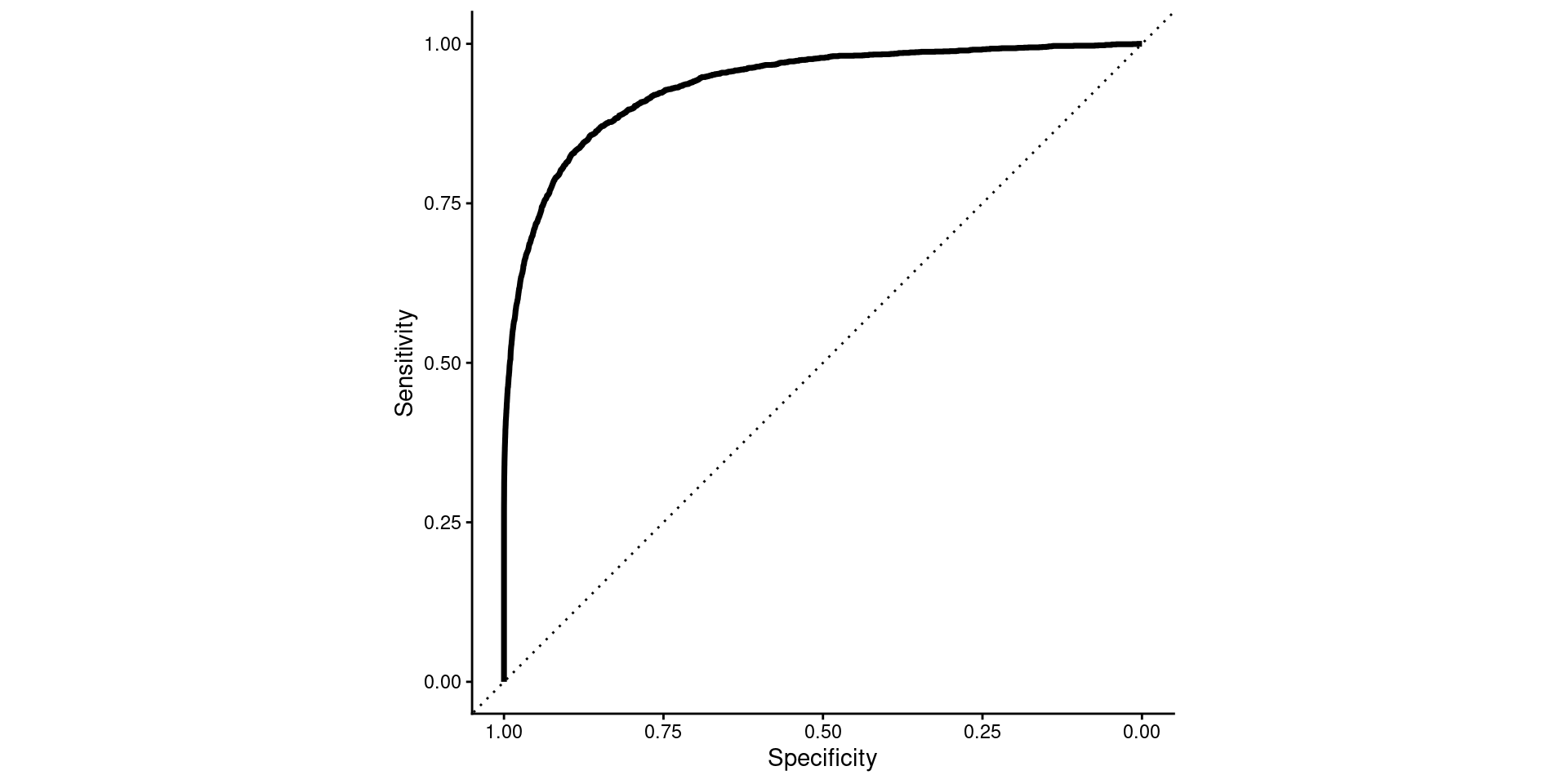
roc_hour <- preds_hour|>
yardstick::roc_curve(prob_beta, truth = label)



