
University of Wisconsin-Madison
In 2019, 52 million Americans had an active mental illness
20 million adults had an active substance use disorder
Large treatment disparities exist by race, ethnicity, geography, and income
Failure to treat is not surprising given many treatment barriers:
Digital therapeutics are smartphone “apps” that are designed to prevent, manage, or treat disease, including mental illness.
Can augment mental health services to address barriers
Digital therapeutics are smartphone “apps” that are designed to prevent, manage, or treat disease, including mental illness.
Can augment mental health services to address barriers
“Could you predict not only who might be at greatest risk for relapse …
… but precisely when that relapse might occur …
… and how best to intervene to prevent it?”
GOAL: Develop a temporally precise lapse monitoring (prediction) system for patients with AUD
4X daily ecological momentary assessments (EMA)
Monthly self-report
Geolocation (GPS)
Cellular communications (voice and text messages)
Sleep sensor (Wake/sleep times; sleep efficiency; wakings; restlessness)
Features based on recent past experiences (12, 24, 48, 72, 168 hours)
Min, max, and median response (all items)
History (count) of past lapses (item 1) and completed EMAs (compliance)
Raw scores and change scores (from baseline/all past responses)
Predict hour-by-hour probability of future lapse
Lapse window widths
Model predicts probability of lapse in next week for “new” observations in test set
Can panel predictions by Ground Truth (i.e., true lapse vs. no lapse observations
Want high probabilities to be high for true lapses and low for true no lapses

Model predicts probability of lapse in next week for “new” observations in test set
Can panel predictions for GROUND TRUTH lapse and no lapse observations
Want high probabilities to be high for true lapses and low for true no lapses
Need decision threshold for classification (.50 default)


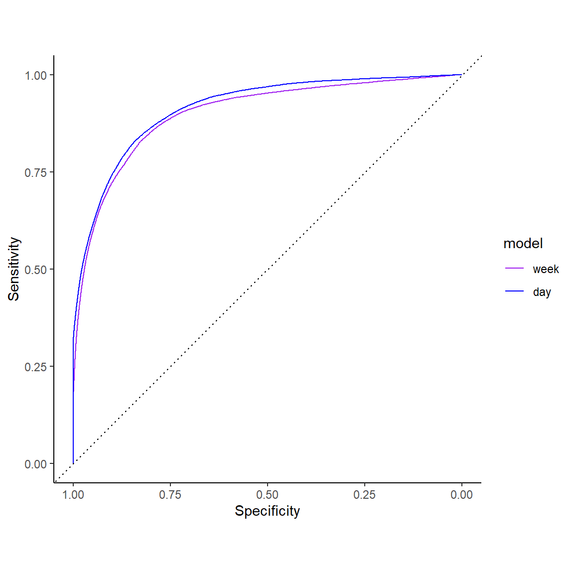
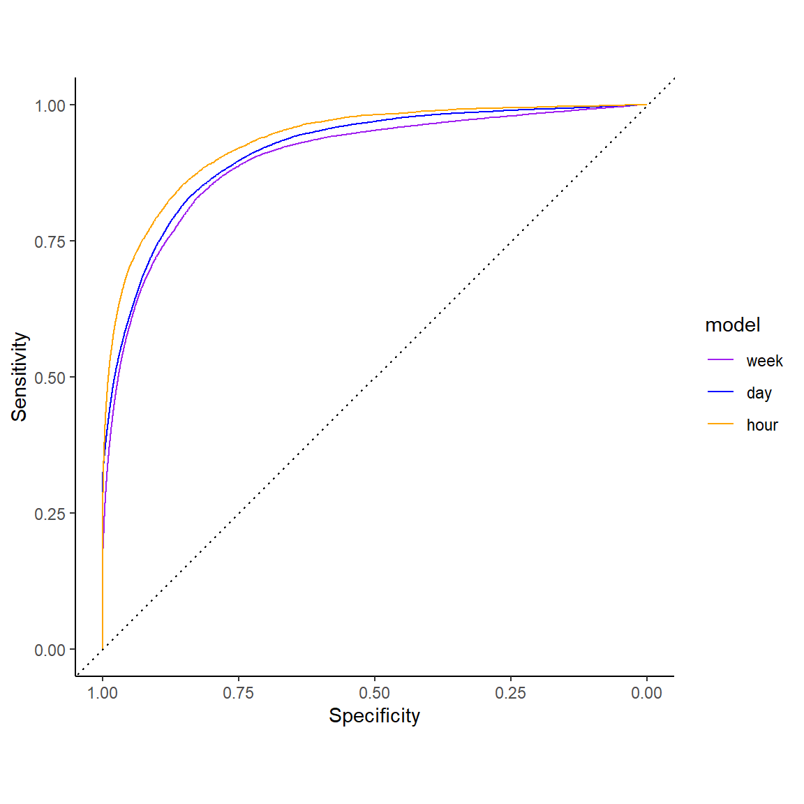
Area under the ROC curve (AUC)
Across all decision thresholds
~.5 (random) – 1.0 (perfect)
Coarse rules of thumb for AUC
.70 - .80 are considered fair
.80 - .90 are considered good
> .90 are considered excellent

Coarse rules of thumb for AUC
.70 - .80 are considered fair
.80 - .90 are considered good
> .90 are considered excellent
Coarse rules of thumb for AUC
.70 - .80 are considered fair
.80 - .90 are considered good
> .90 are considered excellent


Coarse rules of thumb for AUC
.70 - .80 are considered fair
.80 - .90 are considered good
> .90 are considered excellent
Coarse rules of thumb for AUC
.70 - .80 are considered fair
.80 - .90 are considered good
> .90 are considered excellent









Relatively high combined sensitivity and specificity
Comparable performance (AUC) from 1 week down to 1 hour windows
Will need to adjust decision thresholds to fit how we use the algorithm.
Focus on recent past experiences (6, 12, 24, 48, 72, 168 hours)
Raw scores and change scores (from baseline)
Time spent at important places (e.g, alcohol present, drank at location in past, risky, unpleasant)
Geolocation, cellular communications, and other passively sensed signals
Build models with lead times > 0 hours
Geolocation, cellular communications, and other passively sensed signals
Build models with lead times > 0 hours
More diversity in training data
Geolocation, cellular communications, and other passively sensed signals
Build models with lead times > 0 hours
More diversity in training data
Use models to improve DTx engagement and clinical outcomes
::: {.notes}
:::