
University of Wisconsin-Madison
Digital therapeutics are smartphone “apps” that are designed to prevent, manage, or treat disease, including mental illness.
Can augment mental health services to address barriers
Digital therapeutics are smartphone “apps” that are designed to prevent, manage, or treat disease, including mental illness.
Can augment mental health services to address barriers
“Could you predict not only who might be at greatest risk for relapse …
… but precisely when that relapse might occur …
… and how best to intervene to prevent it?”
GOAL: Develop a temporally precise lapse monitoring (prediction) system for patients with AUD
4X daily ecological momentary assessments (EMA)
Monthly self-report
Geolocation (GPS)
Cellular communications (voice and text messages)
Sleep sensor (Wake/sleep times; sleep efficiency; wakings; restlessness)
Features based on recent past experiences (12, 24, 48, 72, 168 hours)
Min, max, and median response (all items)
History (count) of past lapses (item 1) and completed EMAs (compliance)
Raw scores and change scores (from baseline/all past responses)
Predict hour-by-hour probability of future lapse
Lapse window widths
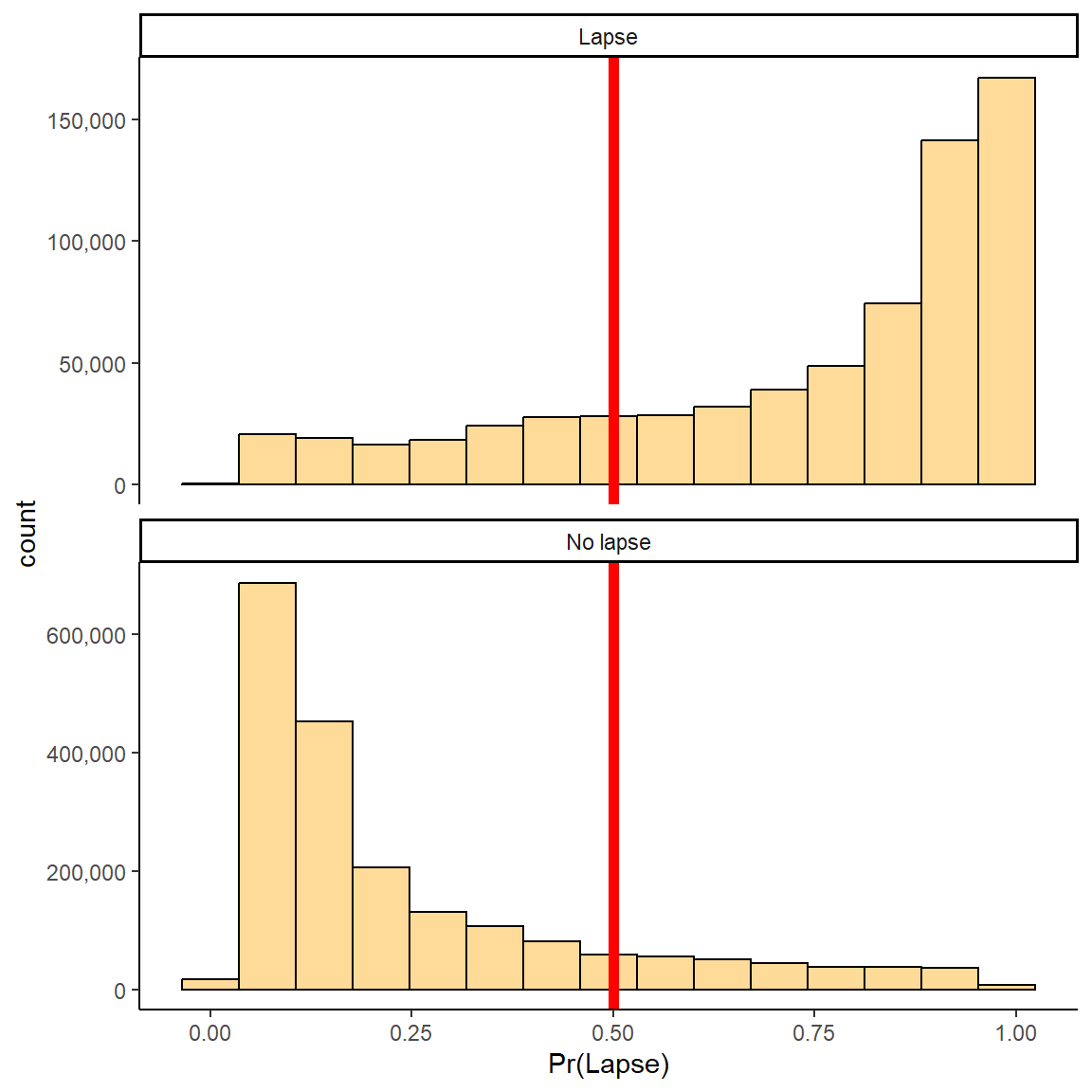
Model predicts probability of lapse in next week for “new” observations in test set
Can panel predictions by Ground Truth (i.e., true lapse vs. no lapse observations
Want high probabilities to be high for true lapses and low for true no lapses

Model predicts probability of lapse in next week for “new” observations in test set
Can panel predictions for GROUND TRUTH lapse and no lapse observations
Want high probabilities to be high for true lapses and low for true no lapses
Need decision threshold for classification (.50 default)

| Week | Day | Hour | |
|---|---|---|---|
| AUC | |||
| Sensitivity | 0.79 | ||
| Specificity | 0.85 | ||
| Balanced Accuracy | 0.82 | ||
Area under the ROC curve (AUC)
Across all decision thresholds
~.5 (random) – 1.0 (perfect)
Coarse rules of thumb for AUC
.70 - .80 are considered fair
.80 - .90 are considered good
> .90 are considered excellent

Coarse rules of thumb for AUC
.70 - .80 are considered fair
.80 - .90 are considered good
> .90 are considered excellent
Coarse rules of thumb for AUC
.70 - .80 are considered fair
.80 - .90 are considered good
> .90 are considered excellent

| Week | Day | Hour | |
|---|---|---|---|
| AUC | 0.90 | 0.91 | |
| Sensitivity | 0.79 | 0.82 | |
| Specificity | 0.85 | 0.85 | |
| Balanced Accuracy | 0.82 | 0.83 | |
Coarse rules of thumb for AUC
.70 - .80 are considered fair
.80 - .90 are considered good
> .90 are considered excellent
Coarse rules of thumb for AUC
.70 - .80 are considered fair
.80 - .90 are considered good
> .90 are considered excellent

| Week | Day | Hour | |
|---|---|---|---|
| AUC | 0.90 | 0.91 | 0.93 |
| Sensitivity | 0.79 | 0.82 | 0.84 |
| Specificity | 0.85 | 0.85 | 0.86 |
| Balanced Accuracy | 0.82 | 0.83 | 0.85 |

| Week | Day | Hour | |
|---|---|---|---|
| AUC | 0.90 | 0.91 | 0.93 |
| Sensitivity | 0.79 | 0.82 | 0.84 |
| Specificity | 0.85 | 0.85 | 0.86 |
| Balanced Accuracy | 0.82 | 0.83 | 0.85 |
| PPV |
| Week | Day | Hour | |
|---|---|---|---|
| Lapse Rate | 25.4% | 7.7% | 0.4% |
| Week | Day | Hour | |
|---|---|---|---|
| AUC | 0.90 | 0.91 | 0.93 |
| Sensitivity | 0.79 | 0.82 | 0.84 |
| Specificity | 0.85 | 0.85 | 0.86 |
| Balanced Accuracy | 0.82 | 0.83 | 0.85 |
| PPV |
| Week | Day | Hour | |
|---|---|---|---|
| Lapse Rate | 25.4% | 7.7% | 0.4% |
| Week | Day | Hour | |
|---|---|---|---|
| AUC | 0.90 | 0.91 | 0.93 |
| Sensitivity | 0.79 | 0.82 | 0.84 |
| Specificity | 0.85 | 0.85 | 0.86 |
| Balanced Accuracy | 0.82 | 0.83 | 0.85 |
| PPV | 0.65 | 0.32 | 0.02 |

| Thres = 0.50 | Thres = 0.90 | |
|---|---|---|
| Sensitivity | 0.81 | |
| Specificity | 0.86 | |
| PPV | 0.32 |

| Thres = 0.50 | Thres = 0.90 | |
|---|---|---|
| Sensitivity | 0.81 | 0.40 |
| Specificity | 0.86 | 0.99 |
| PPV | 0.32 | 0.83 |
| Week | Day | Hour | |
|---|---|---|---|
| Threshold | 0.70 | 0.88 | 0.97 |
| Specificity | 0.67 | 0.43 | 0.20 |
| PPV | 0.75 | 0.75 | 0.75 |

::::
::: {.notes} But of course, as we increase the decision threshold for labeling a window as a lapse, we will trade off sensitivity. We can see this trade off directly in the precision-recall curves on the right. If we decide we need PPV of at least .75, you can see that we still have reasonable sensitivity for the one week window but we start to miss many lapses in the 1day window and more still in the 1hour window.
I’ll return to this a bit more later when we discuss emerging plans for how best to implement these models within a digital therapeutic.
Relatively high combined sensitivity and specificity
Comparable performance (AUC) from 1 week down to 1 hour windows
Will need to adjust decision thresholds to fit how we use the algorithm.
Focus on recent past experiences (6, 12, 24, 48, 72, 168 hours)
Raw scores and change scores (from baseline)
Time spent at important places (e.g, alcohol present, drank at location in past, risky, unpleasant)
Geolocation, cellular communications, and other passively sensed signals
Build models with lead times > 0 hours
Geolocation, cellular communications, and other passively sensed signals
Build models with lead times > 0 hours
More diversity in training data
Geolocation, cellular communications, and other passively sensed signals
Build models with lead times > 0 hours
More diversity in training data
Use models to improve DTx engagement and clinical outcomes
| N | % | M | SD | Range | |
|---|---|---|---|---|---|
| Age | 41 | 11.9 | 21-72 | ||
| Sex | |||||
| Female | 74 | 49.0 | |||
| Male | 77 | 51.0 | |||
| Race | |||||
| American Indian/Alaska Native | 3 | 2.0 | |||
| Asian | 2 | 1.3 | |||
| Black/African American | 8 | 5.3 | |||
| White/Caucasian | 131 | 86.8 | |||
| Other/Multiracial | 7 | 4.6 | |||
| Hispanic, Latino, or Spanish Origin | |||||
| Yes | 4 | 2.6 | |||
| No | 147 | 97.4 | |||
| Education | |||||
| Less than high school or GED degree | 1 | 0.7 | |||
| High school or GED | 14 | 9.3 | |||
| Some college | 41 | 27.2 | |||
| 2-Year degree | 14 | 9.3 | |||
| College degree | 58 | 38.4 | |||
| Advanced degree | 23 | 15.2 | |||
| Employment | |||||
| Employed full-time | 72 | 47.7 | |||
| Employed part-time | 26 | 17.2 | |||
| Full-time student | 7 | 4.6 | |||
| Homemaker | 1 | 0.7 | |||
| Disabled | 7 | 4.6 | |||
| Retired | 8 | 5.3 | |||
| Unemployed | 18 | 11.9 | |||
| Temporarily laid off, sick leave, or maternity leave | 3 | 2.0 | |||
| Other, not otherwise specified | 9 | 6.0 | |||
| Personal Income | $34,298 | $31,807 | $0-200,000 | ||
| Marital Status | |||||
| Never married | 67 | 44.4 | |||
| Married | 32 | 21.2 | |||
| Divorced | 45 | 29.8 | |||
| Separated | 5 | 3.3 | |||
| Widowed | 2 | 1.3 | |||
| Alcohol Use Disorder Milestones | |||||
| Age of first drink | 14.6 | 2.9 | 6-24 | ||
| Age of regular drinking | 19.5 | 6.6 | 11-56 | ||
| Age at which drinking became problematic | 27.8 | 9.6 | 15-60 | ||
| Age of first quit attempt | 31.5 | 10.4 | 15-65 | ||
| Number of Quit Attempts* | 5.5 | 5.8 | 0-30 | ||
| Lifetime History of Treatment (Can choose more than 1) | |||||
| Long-term residential (6+ months) | 8 | 5.2 | |||
| Short-term residential (< 6 months) | 49 | 31.8 | |||
| Outpatient | 74 | 48.1 | |||
| Individual counseling | 97 | 63.0 | |||
| Group counseling | 62 | 40.3 | |||
| Alcoholics Anonymous/Narcotics Anonymous | 93 | 60.4 | |||
| Other | 40 | 26.0 | |||
| Received Medication for Alcohol Use Disorder | |||||
| Yes | 59 | 39.1 | |||
| No | 92 | 60.9 | |||
| Alcohol Use Disorder DSM-5 Symptom Count | 8.9 | 1.9 | 4-11 | ||
| Current (Past 3 Month) Drug Use | |||||
| Tobacco products (cigarettes, chewing tobacco, cigars, etc.) | 84 | 54.5 | |||
| Cannabis (marijuana, pot, grass, hash, etc.) | 66 | 42.9 | |||
| Cocaine (coke, crack, etc.) | 18 | 11.7 | |||
| Amphetamine type stimulants (speed, diet pills, ecstasy, etc.) | 15 | 9.7 | |||
| Inhalants (nitrous, glue, petrol, paint thinner, etc.) | 3 | 1.9 | |||
| Sedatives or sleeping pills (Valium, Serepax, Rohypnol, etc.) | 22 | 14.3 | |||
| Hallucinogens (LSD, acid, mushrooms, PCP, Special K, etc.) | 14 | 9.1 | |||
| Opioids (heroin, morphine, methadone, codeine, etc.) | 16 | 10.4 | |||
| Note: | |||||
| N = 151 | |||||
| * Two participants reported 100 or more quit attempts. We removed these outliers prior to calculating the mean (M), standard deviation (SD), and range. | |||||
Consort Diagram
Posterior Probabilities for Model Contrasts for AUC. Region of Practical Equivalence (ROPE) indicated by dashed yellow lines